-
2022학년도 숭실대학교 논술 문제 및 해설입시 정보/논술 2022. 7. 13. 14:20

2022학년도 숭실대학교 논술 문제 및 해설 횐님들 안녕하세영! 오늘은 2022학년도 숭실대학교 논술 전형 기출문제를 확인하고 채점 기준과 예시 답안을 살펴볼 거예영. 올해 숭실대학교 논술은 수능이 끝난 직후인 11월 18일과 19일에 치러지니, 숭실대에 지원하실 횐님들은 미리 기출 문제를 풀어보시길 바라영. 자세한 전형을 알고 싶으시면 맨 아래에 있는 글을 보시면 됩니다. 이 글에서는 자연1과 자연2의 문제와 답안만 이미지로 올릴 테니까영, 인문이나 상경계열 횐님들은 논술고사 자료집을 다운받으시면 문제와 해설을 확인하실 수 있어영.😄
2022학년도 숭실대학교 논술고사 자료집
2022학년도 숭실대학교 논술고사 자료집.pdf0.97MB2022학년도 숭실대학교 수시 논술고사 기출문제 (자연1)

2022학년도 숭실대학교 수시 논술고사 기출문제 (자연1) 
2022학년도 숭실대학교 수시 논술고사 기출문제 (자연1) 2022학년도 숭실대학교 수시 논술고사 해설 (자연1)

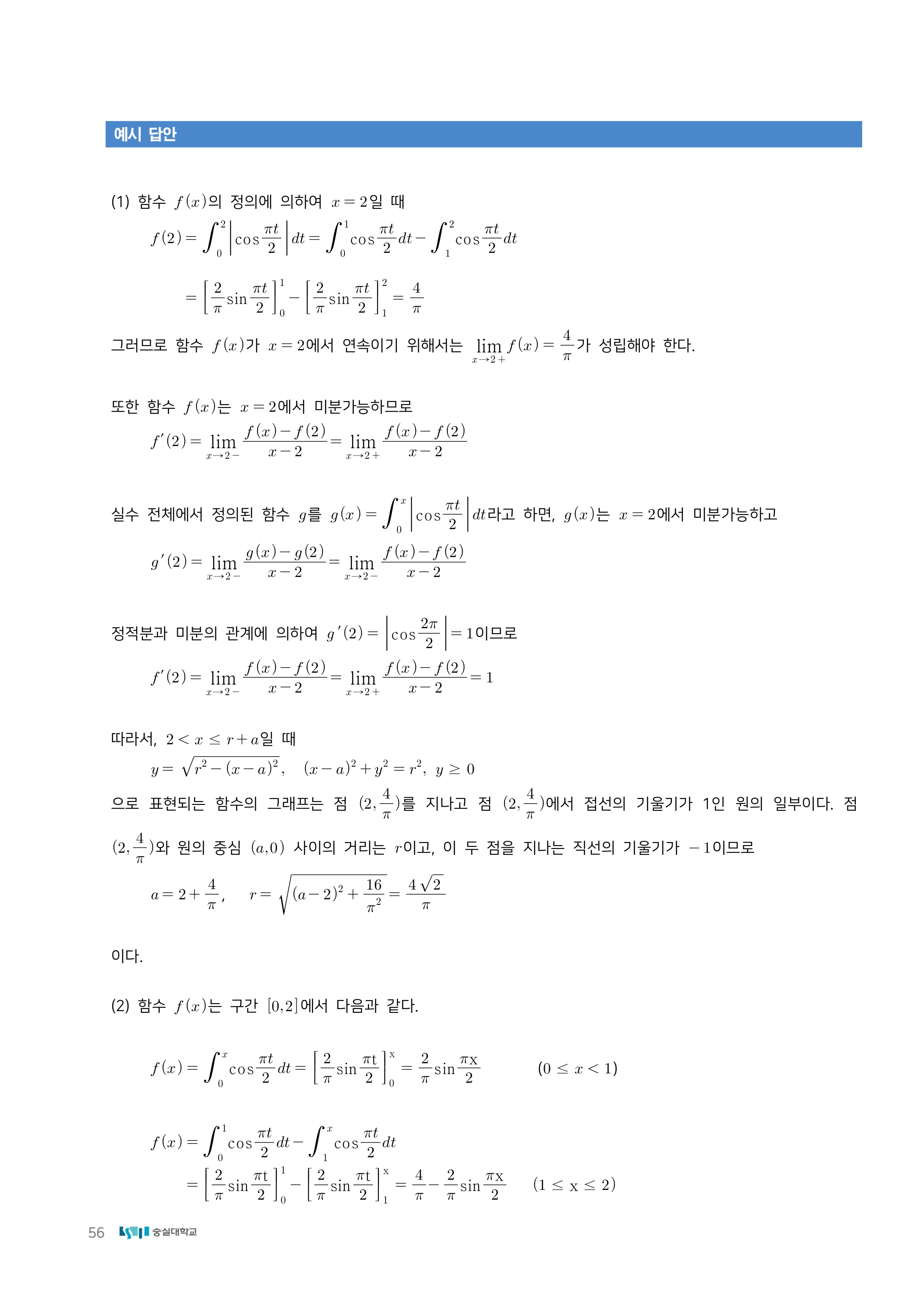
2022학년도 숭실대학교 수시 논술고사 해설 (자연1) 
2022학년도 숭실대학교 수시 논술고사 해설 (자연1) 
2022학년도 숭실대학교 수시 논술고사 해설 (자연1) 
2022학년도 숭실대학교 수시 논술고사 해설 (자연1) 
2022학년도 숭실대학교 수시 논술고사 해설 (자연1) 
2022학년도 숭실대학교 수시 논술고사 해설 (자연1) 
2022학년도 숭실대학교 수시 논술고사 해설 (자연1) 
2022학년도 숭실대학교 수시 논술고사 해설 (자연1) 
2022학년도 숭실대학교 수시 논술고사 해설 (자연1) 2022학년도 숭실대학교 수시 논술고사 기출문제 (자연2)

2022학년도 숭실대학교 수시 논술고사 기출문제 (자연2) 
2022학년도 숭실대학교 수시 논술고사 기출문제 (자연2) 2022학년도 숭실대학교 수시 논술고사 해설 (자연2)

2022학년도 숭실대학교 수시 논술고사 해설 (자연2) 
2022학년도 숭실대학교 수시 논술고사 해설 (자연2) 
2022학년도 숭실대학교 수시 논술고사 해설 (자연2) 
2022학년도 숭실대학교 수시 논술고사 해설 (자연2) 
2022학년도 숭실대학교 수시 논술고사 해설 (자연2) 
2022학년도 숭실대학교 수시 논술고사 해설 (자연2) 
2022학년도 숭실대학교 수시 논술고사 해설 (자연2) 
2022학년도 숭실대학교 수시 논술고사 해설 (자연2) 
2022학년도 숭실대학교 수시 논술고사 해설 (자연2) 
2022학년도 숭실대학교 수시 논술고사 해설 (자연2) 
2022학년도 숭실대학교 수시 논술고사 해설 (자연2) 2023학년도 숭실대학교 논술 전형은 다음 글에서 확인하세영.😙
2023학년도 숭실대학교 논술 전형
횐님들 안녕하세영~~ 오늘은 2023학년도 숭실대학교 논술 전형에 대해 알아볼 거예영. 올해 숭실대학교에서는 논술우수자전형으로 269명을 모집하고영, 시험은 수능을 치른 주의 주말인 11월 18일
mittay.tistory.com
'입시 정보 > 논술' 카테고리의 다른 글
2023학년도 연세대학교 논술 전형 (0) 2022.07.16 2023학년도 논술고사 일정 (0) 2022.07.14 2023학년도 숭실대학교 논술 전형 (0) 2022.07.09 2022학년도 동국대학교 논술 문제 및 해설 (0) 2022.07.07 2023학년도 동국대학교 논술 전형 (0) 2022.07.06