-
2022학년도 단국대학교 논술 문제 및 해설입시 정보/논술 2022. 7. 25. 14:17

2022학년도 단국대학교 논술 문제 및 해설 횐님들 안녕하세영! 오늘은 2022학년도 단국대학교 논술 기출문제와 해설을 살펴볼 거예영. 올해 단국대학교 논술은 11월 19~20일에 치러지기 때문에 수능 이후에 준비하기에는 시간이 부족한 편이에영. 또 단국대 논술에는 수능 최저학력기준도 없으니 지금부터 작년 기출문제를 많이 풀면서 대비하면 논술 전형에 합격하기가 더 수월하겠쥬? 이번 글을 통해서 2022학년도 논술 기출문제를 풀어보고, 채점기준도 확인해 봅시다. 맨 아래에 2023학년도 단국대학교 논술 전형과 2021학년도 단국대학교 논술 기출, 그리고 다른 대학들의 2022학년도 논술 기출문제 및 해설도 링크해 두었어영.😙
2022학년도 단국대학교 논술고사 문제 및 답안
2022학년도 단국대학교 논술고사 자연계열 (오전) 기출문제

2022학년도 단국대학교 논술고사 자연계열 (오전) 기출문제 
2022학년도 단국대학교 논술고사 자연계열 (오전) 기출문제 
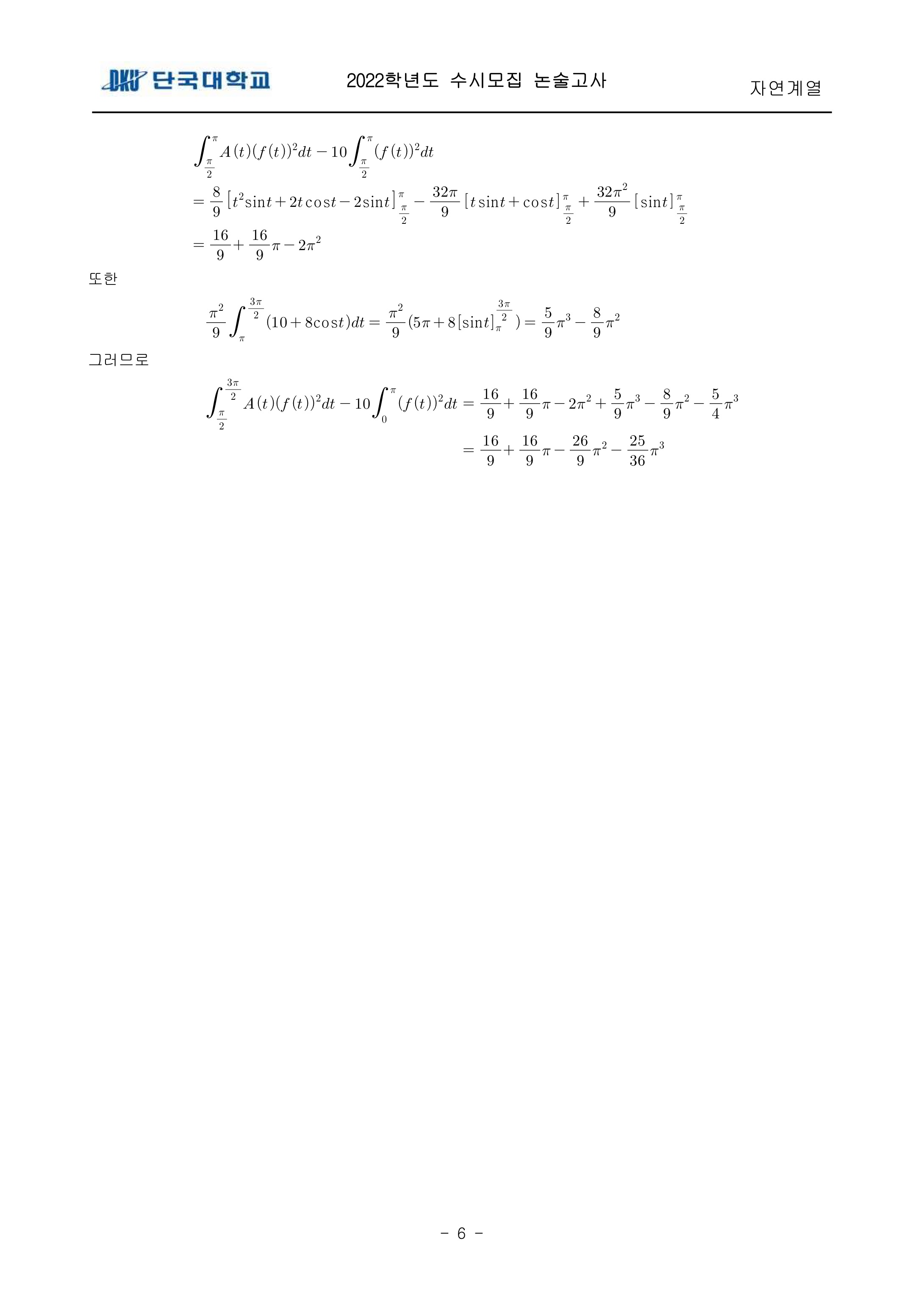
2022학년도 단국대학교 논술고사 자연계열 (오전) 기출문제 2022학년도 단국대학교 논술고사 자연계열 (오전) 해설

2022학년도 단국대학교 논술고사 자연계열 (오전) 해설 
2022학년도 단국대학교 논술고사 자연계열 (오전) 해설 
2022학년도 단국대학교 논술고사 자연계열 (오전) 해설 
2022학년도 단국대학교 논술고사 자연계열 (오전) 해설 
2022학년도 단국대학교 논술고사 자연계열 (오전) 해설 
2022학년도 단국대학교 논술고사 자연계열 (오전) 해설 2022학년도 단국대학교 논술고사 자연계열 (오후) 기출문제

2022학년도 단국대학교 논술고사 자연계열 (오후) 기출문제 
2022학년도 단국대학교 논술고사 자연계열 (오후) 기출문제 
2022학년도 단국대학교 논술고사 자연계열 (오후) 기출문제 
2022학년도 단국대학교 논술고사 자연계열 (오후) 기출문제 2022학년도 단국대학교 논술고사 자연계열 (오후) 해설

2022학년도 단국대학교 논술고사 자연계열 (오후) 해설 
2022학년도 단국대학교 논술고사 자연계열 (오후) 해설 
2022학년도 단국대학교 논술고사 자연계열 (오후) 해설 
2022학년도 단국대학교 논술고사 자연계열 (오후) 해설 
2022학년도 단국대학교 논술고사 자연계열 (오후) 해설 
2022학년도 단국대학교 논술고사 자연계열 (오후) 해설 
2022학년도 단국대학교 논술고사 자연계열 (오후) 해설 2023학년도 단국대학교 논술 전형과 2021학년도 단국대학교 논술 기출, 그리고 다른 대학들의 2022학년도 논술 기출 문제 및 해설도 확인해 보세영!😎
2023학년도 단국대학교 논술 전형
안녕하세영~~ 오늘은 2023학년도 단국대학교 논술 전형을 알아봅시다. 단국대학교 논술은 11월 19일 토요일과 11월 20일 일요일에 치러져영. 수능이 끝난 주의 주말에 치러지니 준비할 시간이 많지
mittay.tistory.com
2021학년도 단국대학교 논술 문제 및 해설
횐님들 안녕하세영! 오늘은 2022학년도 단국대학교 논술고사 기출 문제와 해설을 가져왔어영. 단국대학교에서는 수능을 마치고 바로 논술 시험을 치르기 때문에 준비할 시간이 촉박한 게 사실이
mittay.tistory.com
2022학년도 논술 기출문제 및 예시답안 수리논술나침반14
횐님들 안녕하세영! 2022학년도 수리논술나침반14가 나왔네영.🎉 수리논술나침반은 수학교사동아리 '부산수학나침반'에서 2023학년도 수리논술을 준비하는 횐님들을 위해 만든 수리논술 책자예
mittay.tistory.com
'입시 정보 > 논술' 카테고리의 다른 글
2023학년도 성균관대학교 논술 전형 (0) 2022.07.26 2023학년도 가톨릭대학교 논술 전형 (0) 2022.07.25 2023학년도 단국대학교 논술 전형 (0) 2022.07.24 2023학년도 경희대학교 논술 전형 (0) 2022.07.24 2023학년도 홍익대학교 논술 전형 (0) 2022.07.23