-
2021학년도 서울대학교 면접 및 구술고사 제시문입시 정보/논술 2021. 8. 22. 00:39

2021학년도 서울대학교 면접 및 구술고사 제시문 횐님들 안녕하세영! 오늘은 2021학년도 서울대학교 면접 및 구술 문제를 확인하고 어느 부분에서 출제되었는지 단과대학별로 확인해 보려고 해영. 서울대학교 수시모집 일반 전형에는 제시문을 활용하여 전공적성 및 학업능력을 평가하는 구술 고사가 있지영? 인문학, 수학, 물리, 화학, 생물, 지구과학 등 자신이 지원한 모집단위 별로 제시문이 모두 다르므로 자신이 지원한 모집단위의 문제가 맞는지 꼭 확인하셔야 해영. 제시문을 보니 기존 서울대 기출에서 출제된 문제들이 많이 보여영. 이번에 서울대 일반전형에 지원하시는 횐님들은 꼭 풀어보시길 바라영. 수학은 이미지 파일로만 올렸고영, 다른 과목은 pdf 파일을 받으시면 확인할 수 있어영. 서울대에서 공식적으로 발표한 답안은 없지만 아래 2021학년도 수리논술나침반13에서 예시답안을 보실 수 있어영. 그럼 확인해 볼까영??😎
2021학년도 서울대 수시모집 일반전형 면접 및 구술고사 예시답안
2021학년도 논술 기출문제 및 예시답안 수리논술나침반13
횐님들 안녕하세영! 올해도 어김없이 2021학년도 수리논술나침반13이 돌아왔어영~~ 수리논술나침반은 수학교사동아리 '부산수학나침반'에서 2022학년도 수리논술을 준비하는 횐님들을 위해 만든
mittay.tistory.com
2021학년도 서울대 수시모집 일반전형 면접 및 구술고사 수학A(인문) 오전

2021학년도 서울대 수시모집 일반전형 면접 및 구술고사 수학A(인문) 오전 활용모집단위:
[문제1] 사회과학대학 경제학부, 경영대학, 농업생명과학대학 농경제사회학부, 생활과학대학 소비자아동학부(소비자학전공), 의류학과, 자유전공학부(인문)
교육과정 출제 근거: 함수의 합성, 이차함수, 사인함수, 함수의 연속
2021학년도 서울대 수시모집 일반전형 면접 및 구술고사 수학A(인문) 오전, 수학C(자연) 오전

2021학년도 서울대 수시모집 일반전형 면접 및 구술고사 수학A(인문) 오전, 수학C(자연) 오전 활용모집단위:
[문제2] 사회과학대학 경제학부, 경영대학, 농업생명과학대학 농경제사회학부, 생활과학대학 소비자아동학부(소비자학전공), 의류학과, 자유전공학부(인문)
[문제3] 자연과학대학 수리과학부, 통계학과, 사범대학 수학교육과
교육과정 출제 근거: 수학적 확률, 경우의 수, 합의 법칙, 곱의 법칙, 순열, 조합, n!, nPr, nCr, 조건부확률
2021학년도 서울대 수시모집 일반전형 면접 및 구술고사 수학B(인문) 오후

2021학년도 서울대 수시모집 일반전형 면접 및 구술고사 수학B(인문) 오후 활용모집단위:
[문제1] 사회과학대학 경제학부, 자유전공학부(인문)
교육과정 출제 근거: 다항식의 연산, 수열의 귀납적 정의, 수학적 귀납법, 등비수열, 나머지 정리, 등차수열과 등비수열
2021학년도 서울대 수시모집 일반전형 면접 및 구술고사 수학B(인문) 오후

2021학년도 서울대 수시모집 일반전형 면접 및 구술고사 수학B(인문) 오후 활용모집단위:
[문제2] 사회과학대학 경제학부, 자유전공학부(인문)
교육과정 출제 근거: 도형의 넓이, 함수의 그래프, 극한, 좌극한, 우극한, 연속, 미분계수, 미분가능, 도함수, 평면좌표, 직선의 방정식, 함수, 함수의 극한, 함수의 연속
2021학년도 서울대 수시모집 일반전형 면접 및 구술고사 수학C(자연) 오전

2021학년도 서울대 수시모집 일반전형 면접 및 구술고사 수학C(자연) 오전 활용모집단위:
[문제1] 자연과학대학 수리과학부, 통계학과, 사범대학 수학교육과
교육과정 출제 근거: 명제, 조건, 필요충분조건, 명제의 증명, 진리집합, 대우, 함수
2021학년도 서울대 수시모집 일반전형 면접 및 구술고사 수학C(자연) 오전, 수학D(자연) 오전, 수학E(자연) 오전

2021학년도 서울대 수시모집 일반전형 면접 및 구술고사 수학C(자연) 오전, 수학D(자연) 오전, 수학E(자연) 오전 활용모집단위:
[문제2] 자연과학대학 수리과학부, 통계학과, 사범대학 수학교육과, 공과대학, 농업생명과학대학 조경·지역시스템공학부, 바이오시스템·소재학부, 산림과학부
[문제1] 자유전공학부(자연)
교육과정 출제 근거: 조합, nCr, 시그마의 성질, 수열의 귀납적 정의, 수열의 극한, 순열과 조합, 수열의 합, 수학적 귀납법
2021학년도 서울대 수시모집 일반전형 면접 및 구술고사 수학E(자연) 오전

2021학년도 서울대 수시모집 일반전형 면접 및 구술고사 수학E(자연) 오전 활용모집단위:
[문제1] 공과대학, 농업생명과학대학 조경·지역시스템공학부, 바이오시스템·소재학부, 산림과학부
교육과정 출제 근거: 함수의 합성, 이차함수, 사인함수, 부정적분, 함수의 연속, 정적분의 활용, 여러 가지 적분법
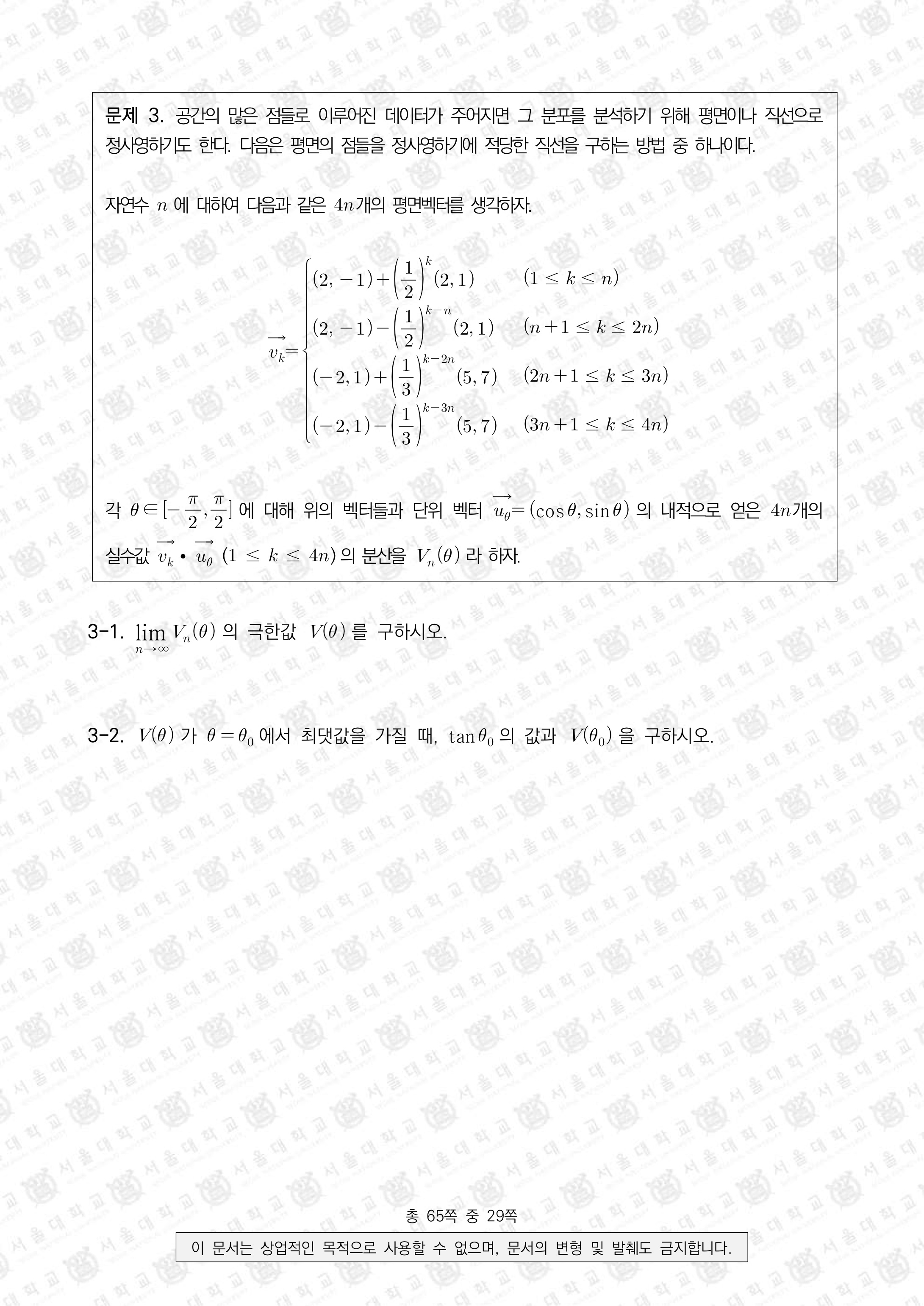
2021학년도 서울대 수시모집 일반전형 면접 및 구술고사 수학D(자연) 오전, 수학E(자연) 오전

2021학년도 서울대 수시모집 일반전형 면접 및 구술고사 수학D(자연) 오전, 수학E(자연) 오전 활용모집단위:
[문제3] 공과대학, 농업생명과학대학 조경·지역시스템공학부, 바이오시스템·소재학부, 산림과학부
[문제2] 자유전공학부(자연)
교육과정 출제 근거: 평면 벡터의 내적, 등비수열의 합, 수열의 극한, 삼각함수, 최댓값, 등차수열과 등비수열, 수열의 합, 급수, 여러 가지 함수의 미분, 여러 가지 미분법, 벡터의 연산, 평면벡터의 성분과 내적
2021학년도 서울대 수시모집 일반전형 면접 및 구술고사 PDF 파일
[2021학년도 수시] 일반전형 면접 및 구술고사 기출 제시문 및 출제근거.pdf1.05MB2022학년도 서울대학교 구술고사 기출문제 및 예시답안은 아래 글에서 확인하세영.🎈
2022학년도 서울대학교 면접 및 구술
횐님들 안녕하세영~😉 오늘은 2022학년도 서울대학교 구술고사 기출문제에 대해서 알아볼 거예영. 서울대학교 수시전형 중 학생부종합전형(일반전형) 지원자는 면접 및 구술고사를 치러야 한다
mittay.tistory.com
'입시 정보 > 논술' 카테고리의 다른 글
2021학년도 세종대학교 논술 문제 및 해설 (0) 2021.08.29 2021학년도 연세대학교 논술 문제 및 해설 (0) 2021.08.22 2021학년도 서강대학교 모의논술 문제 및 해설 (0) 2021.08.16 2021학년도 홍익대학교 논술 문제 및 해설 (0) 2021.08.15 2021학년도 광운대학교 논술 문제 및 해설 (0) 2021.08.10