-
2021학년도 연세대학교 논술 문제 및 해설입시 정보/논술 2021. 8. 22. 14:54

2021학년도 연세대학교 논술 문제 및 해설 횐님들 안녕하세영! 오늘은 2021학년도 연세대학교 논술시험 기출문제를 살펴보고 해설도 확인해 보겠어영. 연세대학교 논술은 인문사회계열, 자연계열로 나뉘어져 있고영, 자연계열에는 수학, 물리, 화학, 생명과학, 지구과학 시험이 있어영. 수학 문제와 해설만 이미지 파일로 올리고영, 나머지 계열의 문제와 해설은 pdf 파일로 받아보시면 되겠어영.😊
2021학년도 연세대학교 논술시험 자연계열1(수학) 오전 문제

2021학년도 연세대학교 논술시험 자연계열1(수학) 오전 문제 
2021학년도 연세대학교 논술시험 자연계열1(수학) 오전 문제 출제 개념: 경우의 수, 조합, 적분, 주기함수, 치환적분법, 최대, 소인수분해, 제곱수
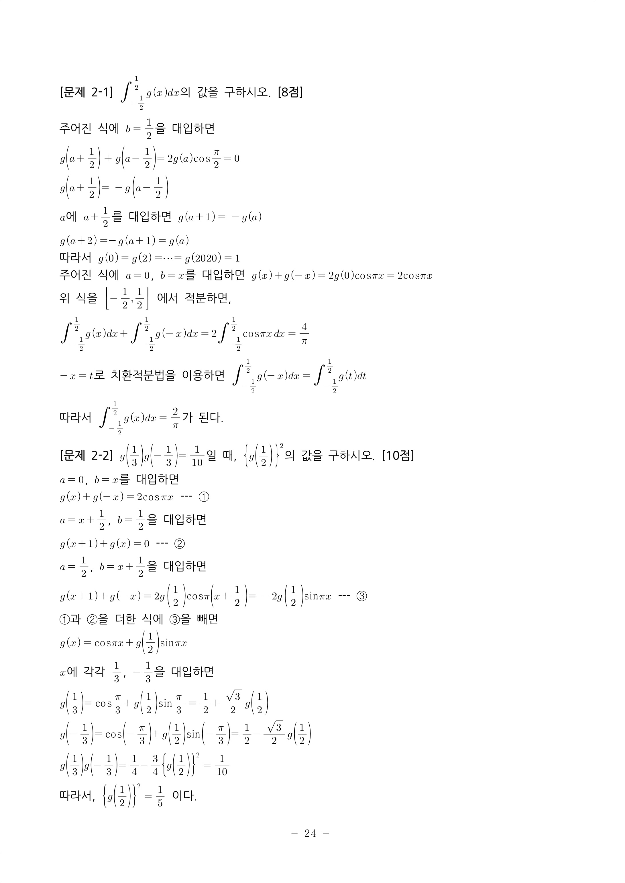
2021학년도 연세대학교 논술시험 자연계열1(수학) 오전 해설

2021학년도 연세대학교 논술시험 자연계열1(수학) 오전 해설 
2021학년도 연세대학교 논술시험 자연계열1(수학) 오전 해설 
2021학년도 연세대학교 논술시험 자연계열1(수학) 오전 해설 
2021학년도 연세대학교 논술시험 자연계열1(수학) 오전 해설 
2021학년도 연세대학교 논술시험 자연계열1(수학) 오전 해설 2021학년도 연세대학교 논술시험 자연계열2(수학) 오후 문제

2021학년도 연세대학교 논술시험 자연계열2(수학) 오후 문제 
2021학년도 연세대학교 논술시험 자연계열2(수학) 오후 문제 출제개념: 원의 방정식, 경우의 수, 확률, 중복조합, 닮음, 넓이 비, 수열의 극한
2021학년도 연세대학교 논술시험 자연계열2(수학) 오후 해설

2021학년도 연세대학교 논술시험 자연계열2(수학) 오후 해설 
2021학년도 연세대학교 논술시험 자연계열2(수학) 오후 해설 
2021학년도 연세대학교 논술시험 자연계열2(수학) 오후 해설 
2021학년도 연세대학교 논술시험 자연계열2(수학) 오후 해설 
2021학년도 연세대학교 논술시험 자연계열2(수학) 오후 해설 
2021학년도 연세대학교 논술시험 자연계열2(수학) 오후 해설 2021학년도 연세대학교 수시모집 논술시험 문제 및 해설
: 인문사회계열(오전/오후), 자연계열 수학(오전/오후), 자연계열 물리(오전/오후), 자연계열 화학(오전/오후), 자연계열 생명과학(오전/오후), 자연계열 지구과학(오전/오후)
2021학년도 연세대학교 논술 기출.pdf3.61MB'입시 정보 > 논술' 카테고리의 다른 글
2022학년도 고려대 세종 모의논술 문제 및 해설 (약학과) (0) 2021.08.30 2021학년도 세종대학교 논술 문제 및 해설 (0) 2021.08.29 2021학년도 서울대학교 면접 및 구술고사 제시문 (2) 2021.08.22 2021학년도 서강대학교 모의논술 문제 및 해설 (0) 2021.08.16 2021학년도 홍익대학교 논술 문제 및 해설 (0) 2021.08.15