-
2023학년도 서울시립대학교 논술 문제 및 해설입시 정보/논술 2023. 8. 10. 08:04

2023학년도 서울시립대학교 논술 문제 및 해설 횐님들 안녕하세영~~ 오늘은 2023학년도에 서울시립대학교에서 출제된 논술 기출문제와 해설을 알아보도록 합시다. 서울시립대 논술은 10월 7일 토요일에 시행되고영, 120분 동안 수리논술 4문제를 풀어야 해영. 아래 기출을 보면 알 수 있듯이, 논술에는 확률과 통계와 미적분, 기하가 모두 출제됩니다. 시험 일자가 촉박하니 미리 기출문제를 풀어봐야겠지영? 서울시립대학교 논술 전형에 대해서 자세히 알고 싶으신 횐님들은 맨 아래에 링크된 글을 참고하세영.😎
2023학년도 서울시립대학교 논술고사 문제지 (자연계열Ⅰ)

2023학년도 서울시립대학교 논술고사 문제지 (자연계열Ⅰ) 
2023학년도 서울시립대학교 논술고사 문제지 (자연계열Ⅰ) 
2023학년도 서울시립대학교 논술고사 문제지 (자연계열Ⅰ) 2023학년도 서울시립대학교 논술고사 문제지(자연Ⅰ).pdf0.09MB2023학년도 서울시립대학교 논술고사 해설지 (자연계열Ⅰ)

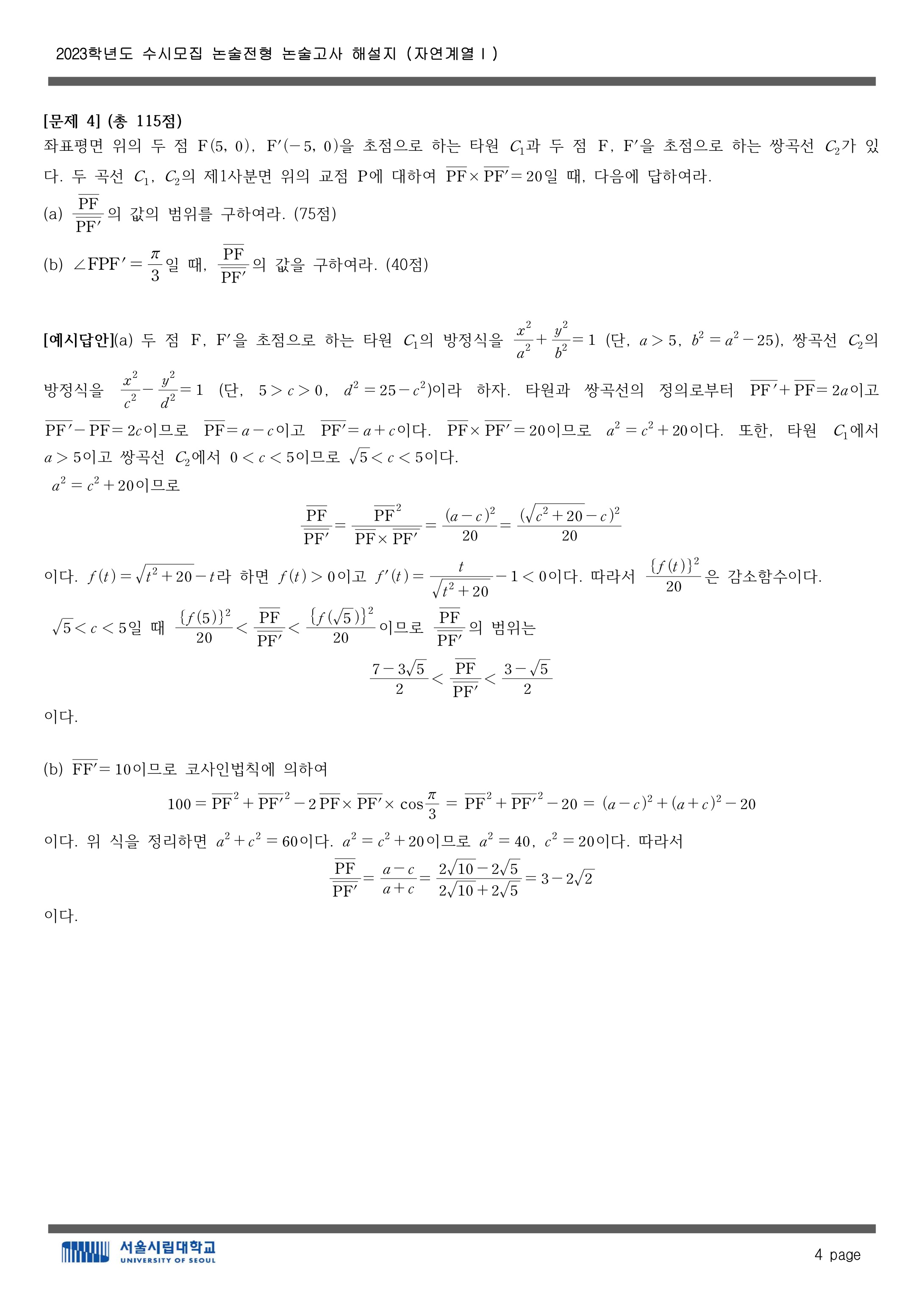
2023학년도 서울시립대학교 논술고사 해설지 (자연계열Ⅰ) 
2023학년도 서울시립대학교 논술고사 해설지 (자연계열Ⅰ) 
2023학년도 서울시립대학교 논술고사 해설지 (자연계열Ⅰ) 
2023학년도 서울시립대학교 논술고사 해설지 (자연계열Ⅰ) 
2023학년도 서울시립대학교 논술고사 해설지 (자연계열Ⅰ) 2023학년도 서울시립대학교 논술고사 해설지(자연Ⅰ).pdf0.09MB2023학년도 서울시립대학교 논술고사 문제지 (자연계열Ⅱ)

2023학년도 서울시립대학교 논술고사 문제지 (자연계열Ⅱ) 
2023학년도 서울시립대학교 논술고사 문제지 (자연계열Ⅱ) 
2023학년도 서울시립대학교 논술고사 문제지 (자연계열Ⅱ) 2023학년도 서울시립대학교 논술고사 문제지(자연Ⅱ).pdf0.08MB2023학년도 서울시립대학교 논술고사 해설지 (자연계열Ⅱ)

2023학년도 서울시립대학교 논술고사 해설지 (자연계열Ⅱ) 
2023학년도 서울시립대학교 논술고사 해설지 (자연계열Ⅱ) 
2023학년도 서울시립대학교 논술고사 해설지 (자연계열Ⅱ) 
2023학년도 서울시립대학교 논술고사 해설지 (자연계열Ⅱ) 
2023학년도 서울시립대학교 논술고사 해설지 (자연계열Ⅱ) 2023학년도 서울시립대학교 논술고사 해설지(자연Ⅱ).pdf0.11MB2024학년도 서울시립대학교 논술 전형도 확인해 보세영.😉
2024학년도 서울시립대학교 논술 전형
횐님들 안녕하세영! 오늘은 2024학년도 서울시립대학교 논술 전형에 대해서 알아보려고 해영. 올해 서울시립대학교에서는 논술전형으로 총 75명을 선발하는데영, 논술 문제는 수리논술 4문항으
mittay.tistory.com
'입시 정보 > 논술' 카테고리의 다른 글
2024학년도 단국대학교 논술전형 (0) 2023.08.12 2024학년도 서울시립대학교 모의논술 문제 및 해설 (0) 2023.08.11 2024학년도 서울시립대학교 논술 전형 (0) 2023.08.08 2024학년도 경희대학교 모의논술 문제 및 해설 (0) 2023.08.07 2023학년도 경희대학교 논술 문제 및 해설 (0) 2023.08.06