-
2024학년도 서울시립대학교 모의논술 문제 및 해설입시 정보/논술 2023. 8. 11. 16:06

2024학년도 서울시립대학교 모의논술 문제 및 해설 횐님들 안녕하세영~~ 오늘은 2024학년도 서울시립대학교 모의논술 문제와 해설을 알아보도록 합시다. 서울시립대는 올해 자연계열만 수리논술로 75명을 선발해영. 논술 날짜가 10월 8일 토요일로 얼마 남지 않았으니 작년 기출 문제와 올해 모의논술을 모두 풀어봐야겠지영? 맨 아래에 2024학년도 서울시립대 논술 전형과 2023학년도 논술 기출문제와 해설을 링크해 두었으니 참고하세영.🥰
2024학년도 서울시립대학교 모의 논술고사 문제지 (자연계열)

2024학년도 서울시립대학교 모의 논술고사 문제지 (자연계열) 
2024학년도 서울시립대학교 모의 논술고사 문제지 (자연계열) 
2024학년도 서울시립대학교 모의 논술고사 문제지 (자연계열) 2024학년도 서울시립대학교 모의 논술고사 문제지.pdf0.18MB2024학년도 서울시립대학교 모의 논술고사 해설지 (자연계열)

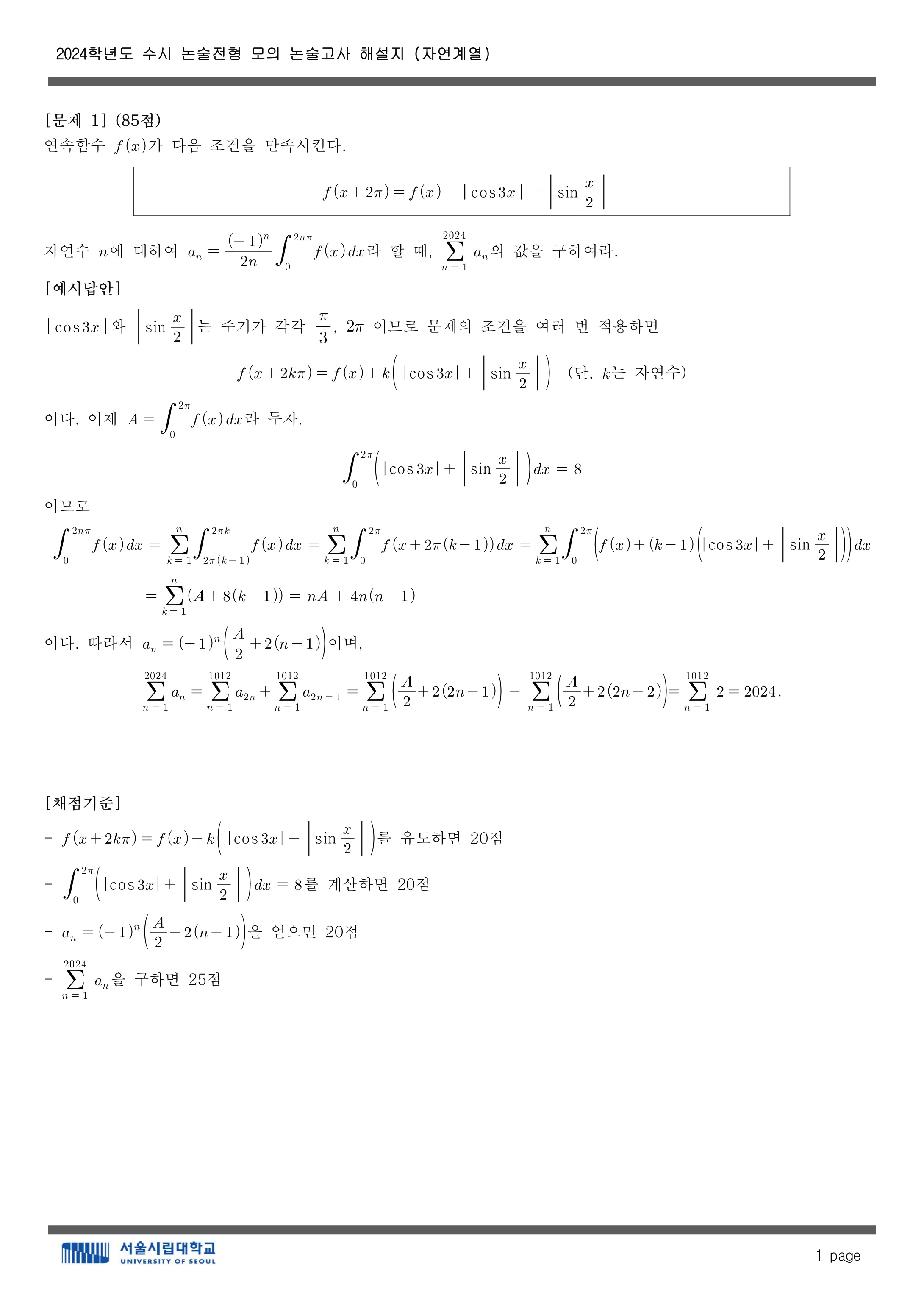
2024학년도 서울시립대학교 모의 논술고사 해설지 (자연계열) 
2024학년도 서울시립대학교 모의 논술고사 해설지 (자연계열) 
2024학년도 서울시립대학교 모의 논술고사 해설지 (자연계열) 
2024학년도 서울시립대학교 모의 논술고사 해설지 (자연계열) 
2024학년도 서울시립대학교 모의 논술고사 해설지 (자연계열) 2024학년도 서울시립대학교 모의 논술고사 해설지.pdf0.12MB2024학년도 서울시립대학교 논술 전형과 2023학년도 논술 기출 문제 및 해설을 확인하세영.😀
2024학년도 서울시립대학교 논술 전형
횐님들 안녕하세영! 오늘은 2024학년도 서울시립대학교 논술 전형에 대해서 알아보려고 해영. 올해 서울시립대학교에서는 논술전형으로 총 75명을 선발하는데영, 논술 문제는 수리논술 4문항으
mittay.tistory.com
2023학년도 서울시립대학교 논술 문제 및 해설
횐님들 안녕하세영~~ 오늘은 2023학년도에 서울시립대학교에서 출제된 논술 기출문제와 해설을 알아보도록 합시다. 서울시립대 논술은 10월 7일 토요일에 시행되고영, 120분 동안 수리논술 4문제
mittay.tistory.com
'입시 정보 > 논술' 카테고리의 다른 글
2023학년도 단국대학교 논술 문제 및 해설 (0) 2023.08.13 2024학년도 단국대학교 논술전형 (0) 2023.08.12 2023학년도 서울시립대학교 논술 문제 및 해설 (0) 2023.08.10 2024학년도 서울시립대학교 논술 전형 (0) 2023.08.08 2024학년도 경희대학교 모의논술 문제 및 해설 (0) 2023.08.07