-
2023학년도 이화여자대학교 논술 문제 및 해설입시 정보/논술 2023. 8. 26. 13:02

2023학년도 이화여자대학교 논술 문제 및 해설 횐님들 안녕하세영~~ 오늘은 2023학년도에 이화여자대학교에서 출제되었던 논술 기출문제와 해설에 대해서 알아보려고 해영. 2023학년도에는 자연계열 논술문제가 하나만 있었기 때문에 기출문제는 자연계열 문제만 있고영, 2024학년도부터는 자연Ⅰ과 자연Ⅱ로 나뉘어서 출제돼영. 약학대학 약학전공만 자연Ⅱ 문제를 풀면 되는데영, 두 문제의 차이점을 확인하고 싶으시면 맨 아래에 링크돼 있는 2024학년도 이화여자대학교 모의논술 문제 및 해설을 참고하시기 바라영. 자세한 논술 전형과 논술대비 방법도 같이 링크해 두었어영.🍈
2023학년도 이화여자대학교 논술고사 문제지 (자연계열)

2023학년도 이화여자대학교 논술고사 문제지 (자연계열) 
2023학년도 이화여자대학교 논술고사 문제지 (자연계열) 
2023학년도 이화여자대학교 논술고사 문제지 (자연계열) 
2023학년도 이화여자대학교 논술고사 문제지 (자연계열) 2023학년도 이화여자대학교 논술고사 자연계열_ 문제지.pdf0.34MB2023학년도 이화여자대학교 논술고사 출제 의도 및 답안 (자연계열)

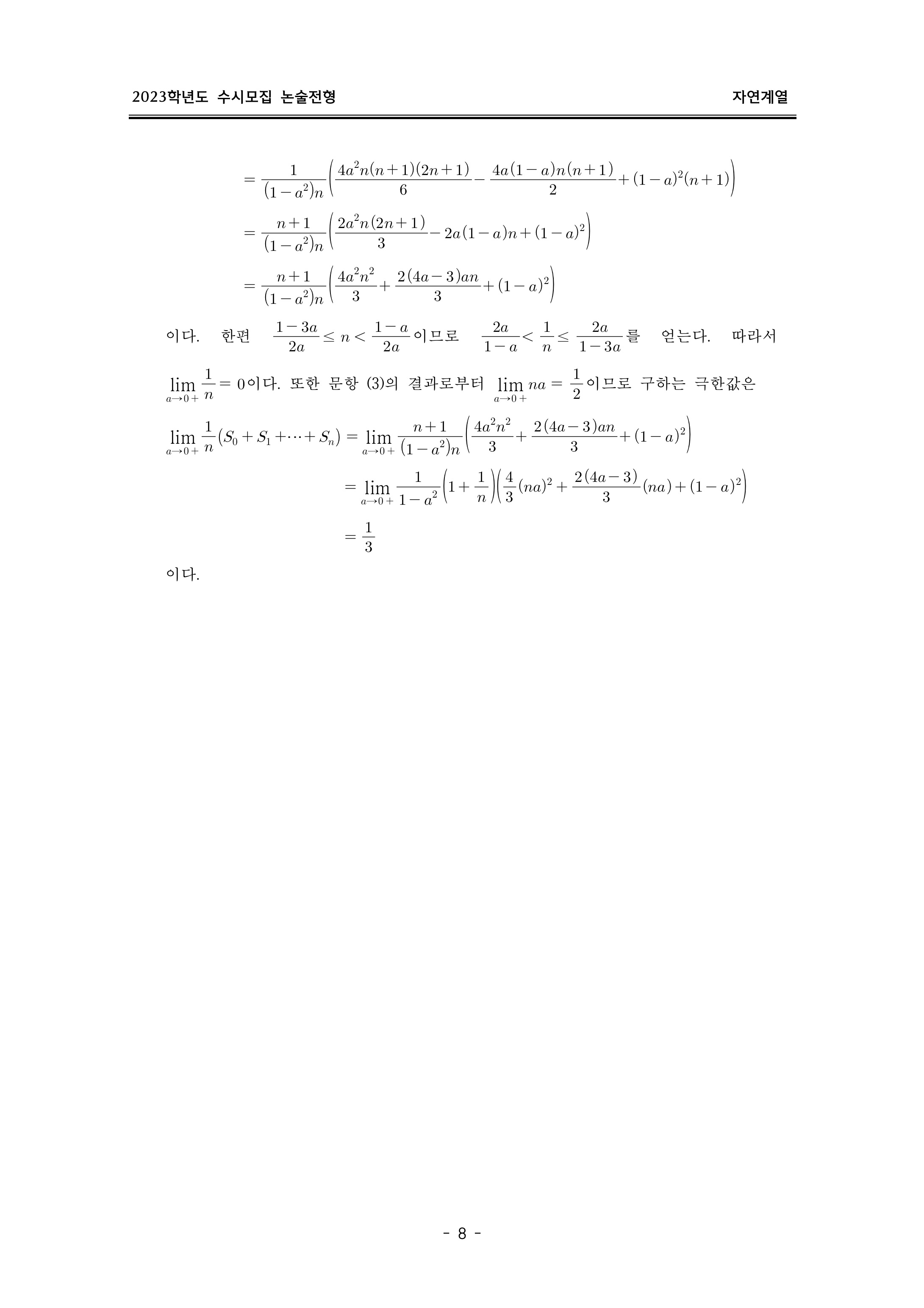
2023학년도 이화여자대학교 논술고사 출제 의도 및 답안 (자연계열) 
2023학년도 이화여자대학교 논술고사 출제 의도 및 답안 (자연계열) 
2023학년도 이화여자대학교 논술고사 출제 의도 및 답안 (자연계열) 
2023학년도 이화여자대학교 논술고사 출제 의도 및 답안 (자연계열) 
2023학년도 이화여자대학교 논술고사 출제 의도 및 답안 (자연계열) 
2023학년도 이화여자대학교 논술고사 출제 의도 및 답안 (자연계열) 
2023학년도 이화여자대학교 논술고사 출제 의도 및 답안 (자연계열) 
2023학년도 이화여자대학교 논술고사 출제 의도 및 답안 (자연계열) 
2023학년도 이화여자대학교 논술고사 출제 의도 및 답안 (자연계열) 
2023학년도 이화여자대학교 논술고사 출제 의도 및 답안 (자연계열) 
2023학년도 이화여자대학교 논술고사 출제 의도 및 답안 (자연계열) 
2023학년도 이화여자대학교 논술고사 출제 의도 및 답안 (자연계열) 
2023학년도 이화여자대학교 논술고사 출제 의도 및 답안 (자연계열) 
2023학년도 이화여자대학교 논술고사 출제 의도 및 답안 (자연계열) 
2023학년도 이화여자대학교 논술고사 출제 의도 및 답안 (자연계열) 
2023학년도 이화여자대학교 논술고사 출제 의도 및 답안 (자연계열) 
2023학년도 이화여자대학교 논술고사 출제 의도 및 답안 (자연계열) 
2023학년도 이화여자대학교 논술고사 출제 의도 및 답안 (자연계열) 
2023학년도 이화여자대학교 논술고사 출제 의도 및 답안 (자연계열) 
2023학년도 이화여자대학교 논술고사 출제 의도 및 답안 (자연계열) 
2023학년도 이화여자대학교 논술고사 출제 의도 및 답안 (자연계열) 2024학년도 이화여자대학교 논술 전형과 2024학년도 모의논술 문제 및 해설에 대해서도 알아보세영.🍉
2024학년도 이화여자대학교 논술 전형
횐님들 안녕하세영! 오늘은 2024학년도 이화여자대학교 논술 전형에 대해서 알아보도록 해영. 이화여대에서는 논술전형으로 총 300명을 선발하고 11월 25일 토요일과 11월 26일 일요일에 시험을 치
mittay.tistory.com
2024학년도 이화여자대학교 모의논술 문제 및 해설
횐님들 안녕하세영~~ 오늘은 2024학년도 이화여자대학교 모의논술 문제와 해설을 알아볼 거예영. 올해 이화여대 자연계열 논술은 11월 26일 일요일에 시행되고영, 자연계열은 모두 오전에 시험을
mittay.tistory.com
'입시 정보 > 논술' 카테고리의 다른 글
2024학년도 가천대학교 논술 전형 (0) 2023.08.27 2024학년도 이화여자대학교 모의논술 문제 및 해설 (0) 2023.08.26 2024학년도 이화여자대학교 논술 전형 (0) 2023.08.25 2024학년도 아주대학교 모의논술 문제 및 해설 (0) 2023.08.25 2023학년도 아주대학교 논술 문제 및 해설 (0) 2023.08.24